阿贝尔定理
出自 MBA智库百科(https://wiki.mbalib.com/)
目录 |
阿贝尔定理是指幂级数的一个重要结果。
设
为一幂级数,其收敛半径为R。若对收敛圆(模长为 R 的复数的集合)上的某个复数z0,级数
收敛,则有
。
若
收敛,则结果显然成立,无须引用这定理。
设级数
收敛,下面证明:
令
,则幂级数
的收敛半径为1,并且只需证明
令
,则可化归到
,于是以下只需要考虑
的情况。
设
,那么
。由幂级数性质可知
的收敛半径也是1。于是
(因为
)
对于任意的ε > 0,固定N0 使得
,
再固定δ使得
,
于是对
,
这就证明了
于是阿贝尔定理得证。
从证明中可以看出,对于一个固定的正数α,设区域:
那么只要t 在Dα趋近于1,就有阿贝尔定理成立。
阿贝尔定理的一个有用应用是计算已知收敛级数。方法是通过在级数每项后加上xn项,将问题转换为幂级数求和,最后再计算 x 趋于 1 时幂级数的极限。由阿贝尔定理可知,这个极限就是原级数的和。
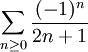
为计算收敛级数
,设
。于是有
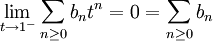
为计算收敛级数
,设
。因此有



123